
6. A Vehicle for Time Travel

Creative Commons 4.0 International License; 2020 by Richard Lighthouse.
CC BY 4.0
Please acknowledge source. RLighthouse.com
![]()
ISBN: 9781311996381
Previously published as “Time Travel: An Approximate Mathematical Solution.”
5 October 2014 – original, published as Time Travel: An Approximate Mathematical Solution
Revision 1b – 23 Sept 2016, revised because smashwords would not distribute to external websites.
Revision 2A – 25 Feb 2017
Houston, Texas, U.S.A.
WARNING: The NSA has likely placed electronic tracking tags in this document. Please consider printing for distribution.
A Vehicle for Time Travel
ABSTRACT
This short technical note describes an approximate mathematical solution for Time Travel involving relativity and very brief time intervals. Time Travel is made possible by exploiting the fact that our universe literally blinks, off and on, at a very high frequency. Limitations of the solution are discussed including possible error sources. Assumptions are made for small changes in the speed of light and for the Lighthouse Frequency, which has been described in previous papers. This paper will only be meaningful to those with a background in calculus, physics or engineering. The math is derived by taking Einstein's equation, E=mc^2, and taking the partial derivative with respect to time. Readers will note that the speed of light is not constant per Dr Daniel Gezari's important paper; "Lunar Laser Ranging Test on the Invariance of C." Each reader must comprehend that our universe literally blinks off and on, more than 1 trillion times every second.
For those unconvinced that our universe is blinking - please see the related ebook, "The First Periodic Table for Elementary Particles," which provides compelling mathematical evidence.
Everything in a physical universe has a natural, resonant frequency – including the universe itself. That frequency is approximately 1 THz and can be utilized as a carrier wave. [10]
This can be called a vibration, a blinking, or a frequency, but perhaps a better explanation, in our terms - the entire physical universe is newly constructed and then collapses to a single point at 1 trillion times each second, IN OUR TERMS (this must be emphasized). At the moment of collapse, there is no distance between galaxies - instant communication and instant travel are possible. (In larger terms, all of time is simultaneous, and there is no blinking. )
This resonant frequency is named the "Lighthouse Frequency."
By applying a precise electric charge to a vehicle (such as a spacecraft) while vibrating the external metal skin at the Resonant Frequency of the universe - a vehicle can instantly jump thru time or space. The precise volts, amps, and phase angle determine where in spacetime the vehicle jumps. This implies then, the difference between 2 points in SPACE is defined by electric charge, not distance, and the difference between 2 points in TIME is also defined by electric charge, not seconds or years.
This idea can be compared to using a strobe light on a rotating fan to "stop" the blades - from the perspective of the strobe, the fan is not moving and it is possible to "jump" between the blades. The jump, in our terms, is caused by a simple electric charge.
If you are not convinced that our universe is blinking – please read reference [11]
Compelling mathematical evidence is provided.
Technical Note:
Time, in our terms, is one form of Probability. To jump between probable universes will require a specific amount of Energy.
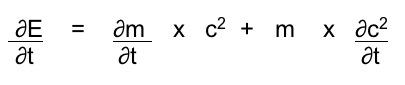
Physicists are familiar with the equation from the Special Theory of Relativity: [1]
E = m c2
From this formula, we can also deduce
dE = d (mc2 )
or perhaps more accurately

If we assume mathematically that the speed of light, c, can vary
with time, then c is no longer a constant.
And for very small intervals of time, the change in mass with respect to time can be considered negligible and this term becomes 0,

We assume this Energy is constantly created and never destroyed, because the physical universe blinks off and on (which is different than the Law of Energy Conservation). [4]
dE = m * 2c dc
If we evaluate dE over a time interval equal to a single cycle of the Lighthouse Frequency:
= m * 2c dc
which is a non-zero value, in contrast to the Conservation of Energy.
Therefore, the amount of Energy needed to jump to a different Probable Time, is determined by the mass and the change in the speed of light between the Origin Probable Universe (Origin) and the Target Probable Universe (Target), as well as the value of the Lighthouse Frequency.
Based upon the data in Reference [6] and [7], it appears that the speed of light is increasing over the last 50 years at an average value of 3.14929 m/s each year. We will assume this value is correct, however only precise laboratory and experimental testing can determine the correct values.
For small changes in time and the speed of light, we will assume that it is governed by the equation: [6], [7]
y = 3.14929 x
where x = calendar year difference in decimal format (i.e. 50 years)
and y is equal to dc.
So for a time translation of 50 years, we get approx. dc = 157.4645 m/s
(After preliminary hardware testing using target objects, it will be possible to better define the equation. It is likely non-linear for large changes.)
So, in our terms, the Energy required depends on the value of the Lighthouse Frequency, the mass, and the change in the speed of light.
Change in energy = 2c * m dc
We can generate this energy by using an electric charge.
We know from electrical fundamentals (Maxwell) that
E = 1/2 Q V
where Q = integral over time of I dt, which is in amps*sec.

where in our case, during the time interval, dt, we use the time-averaged value of the Lighthouse Frequency. For our test case, we assume it is approx. constant for small changes in time.
E = V* I * t / 2
E = Volt * (Amp*sec)/2
Let's continue with an example case to solve for the approximate Volt*Amps*sec required:
We will assume the total mass of our time machine is 160 kg.
We will assume a time translation of 50 years, which gives a dc = 157.4645 m/s
Therefore the Volt*Amp*sec required are:
V*A*sec/2 = 2c * m * dc
V*A*sec = 2 * 2c * m * dc [units are m/s * kg * m/s]
= 4 * c * 160 * 157.4645
= 3.02123E*13 volt*amps*sec
= 30,212,288,673 kVA sec [units are kvolts * amps * sec]
= 8,392,302 kW.hr
which is a large amount of energy to discharge in a small fraction of a second.
This amount of energy is placed on the shell housing of the Time Machine while simultaneously vibrating the skin at the Lighthouse Frequency - which is done by using a hyfrecator-type device. The Lighthouse Frequency is embedded in the discharge in the form of a square wave, for example.
CONCLUSIONS
An approximate solution has been provided to determine the amount of energy required for time travel. The concept is based upon a blinking universe. A sample problem has been analyzed assuming a time machine with a mass of 160 kg and a time translation of 50 years. [9]

Figure 1. Basic Configuration for a Time Machine
This document is a living document. The author reserves the right to make corrections and changes.
1. Albert Einstein (1905) "Zur Elektrodynamik bewegter Körper", Annalen der Physik 17: 891; English translation “On the Electrodynamics of Moving Bodies” by George Barker Jeffery and Wilfrid Perrett (1923).
2. Richard Lighthouse, Preliminary Investigation into the Nature of Time, lulu.com, 2010.
3. Richard Lighthouse, Relativity and Discrete Time Intervals, amazon.com, 2012.
4. Seth (Jane Roberts) Early Sessions, Book 2, Session 60, 1964. “Matter is continually created, but no particular physical object is in itself continuous... No particular physical particle exists for any amount of time. It exists and disappears, and is instantaneously replaced by another.”
5. Seth (Jane Roberts) Unknown Reality, Volume 1, Session 684, 18 February 1974. “The world literally blinks off and on. This reality of fluctuation in no way bothers your own feeling of consistency, however. The "holes of nonexistence" are plugged up by the process of selectivity.”
6. www.godandscience.org/youngearth/speedlight.html
Reference excel spreadsheet data.
7. Daniel Gezari, “Lunar Laser Ranging Test of the Invariance of C”, National Aeronautics and Space Administration (NASA), 2009. Value of the speed of light determined to be 299,792,658 +/- 10 m/sec. [different than the traditional constant value] Increasing about 3 m/sec each year.
8. Seth (Jane Roberts) Early Sessions, Session 135, 1965. "Such electrical realities then, through the strength of their intensities and their particular range, are projected into some fields, but not projected into others. Any so-called travel through time involves then a traveling through such intensities.” [Author’s note: Electrical Intensities = Volts, Range = Amp*sec]
Richard Lighthouse, Prototype Design for a Time Machine, smashwords.com, 2013.
10. Richard Lighthouse, Experimental Method for Determination of the Lighthouse Frequency, smashwords.com, 2013.
11. Richard Lighthouse, The First Periodic Table for Elementary Particles, smashwords.com, 2014.
Acknowledgments
Acknowledgments: The author gratefully acknowledges Seth, Jane Roberts, and Rob Butts for their significant contributions. Also thanks to Dr J. Jerke and Dr R. Bryan for their comments on the math, although they do not necessarily agree with the views expressed in this paper.
APPENDIX
If we assume that we will build up this electric charge on a capacitor, and then discharge it within a single cycle of the Lighthouse Frequency:
@ 10 cents per kWatt*hr
The electricity to make a time translation of 50 years for a single traveler will cost approximately:
= 3.02123E*13 /1000/3600 =
$ 839,230 or nearly 1 Million USD.
Note that this amount can be greatly reduced by using the methods described in “Massless Travel” - also by this author.
Describe what you're looking for in as much detail as you'd like.
Our AI reads your request and finds the best matching books for you.
Popular searches:
Join 2.9 million readers and get unlimited free ebooks