
DESIGN OF NORMAL
CONCRETE MIXTURE
L. Dvorkin and O.Dvorkin





7.1. General and tasks
Design of concrete mixtures - the main technological problem, which decision
defines a level of operational reliability of constructions and degree of rational
use of the resources spent for their manufacturing and installation.
The founder of practical methodology of design of concrete mixtures is
D.Abrams. He summarized results of extensive experimental researches in
Chicago Laboratory of Portland cement Association and formulated the
primary tasks of design of concrete mixtures and methods of their decision.
In modern technology designing of concrete mixture means a
substantiation and choice of a kind of initial materials and their ratios
providing at set criterion of an optimality given requirements to a concrete
mix and concrete.
127





Actual directions of development of methodology of concrete mixtures design
are:
- increase in "predicting ability" of calculated methodology that is an opportunity
of full comsideration of technological factors and given requirements to
concrete;
- increase in efficiency of algorithms of concrete mixtures design, their
accuracy and speed.
In technological practice method of designing concrete mixtures with the
required compressive strength is the most common. Many properties of concrete
are simply linked with compressive strength such as flexural and tensile strength,
resistance to abrasion, etc. However, dependence between strength and frostresistance or strength and creep, etc. is not always straight proportional. Their
calculated determination must be based on the complex of the special
quantitative dependences.
Most developed and realized in practice there are 2-factor tasks, it means that
the given properties of concrete are compressive strength (R
) and
cmp
consistency of the mix (Slump or Vebe).
128





If there is a necessity in normalization of some other technical properties of
concrete, except for compressive strength, the problem of concrete mixtures
design becomes essentially complicated.
At designing mixtures of various and in particular special kinds of concrete
(hydrotechnical, road, etc.) there are multi-factors tasks. They can be divided
into three subgroups:
1With the normalized parameters unequivocally connected with
compressive strength of concrete;
2-With the normalized parameters uncertainly connected with compressive
strength of concrete;
3 - With the normalized parameters which have been not connected with
compressive strength.
For example, tasks with various given parameters of strength of concrete
belong to the first subgroup. At calculation of compositions of such concrete
mixture the defining parameter from given properties of the concrete and its
corresponding compressive strength are determined and established
minimally possible cement-water ratio (C/W) which providing all set of
properties.
129






Rspl,
Rfl,
Rcmp,
MPa MPa MPa
For example, from Fig.
7.1 follows, that if are
normalized: compressive
strength R
≥ 20 MPa,
cmp
flexural strength R ≥ 8,3
fl
MPa and splitting tensile
strength R
≥ 7,9 МПа,
spl
that, obviously, the
defining parameter is Rspl
and necessary cementwater ratio providing all
C/W
three parameters of
Fig. 7.1. Effect of cement-water ratio (C/W) on the
properties, is equal 2.1.
compressive strength (Rcmp), flexural strength (Rfl)
and splitting tensile strength (Rspl)
130






Normalized parameters in tasks of
the second subgroup of designing
concrete mixtures alongside with
6
compressive strength can be
10 m
creep, frost resistance, heat
generation, etc.
ys, Ca d8
at 2
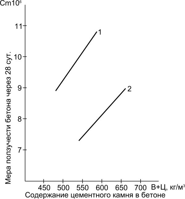
Fig. 7.2 shows the example of
ep
relationship between creep and
of cre
quantity of the cement stone in
ue
concrete at constant
Val
compressive strength. At
constant water-cement ratio and
therefore concrete strength,
Quantity of cement stone in concrete, kg/m3
concrete creep can essentially
Fig. 7.2. Effect of quantity of the cement stone in concrete
differ depending on quantity of
on the value of creep:
1 – Compressive strength of concrete = 20 MPa;
the cement stone in concrete.
2 – Compressive strength of concrete = 30 MPa
131





For the tasks of concrete mixtures design of the third subgroup (for example,
light concrete) water-cement ratio is not a determinative factor, providing the
complex of the normalized properties. For such tasks is necessary to find
other, substantial for all normalized properties factor. Determination of
necessary value of this factor becomes the main task of concrete mixtures
design.
7.2. Selection of raw materials and admixtures
Task of a choice of initial materials is the technical and economic problem
defining efficiency of designed concrete mixtures and an opportunity of
achievement of demanded properties of concrete.
The basic technical parameters at a choice of a kind of cement are:
chemical composition, strength, rate of hardening, normal consistency and
fineness.
For an estimation of efficiency of use of cement the relative parameters
describing the quantity of cement or its cost on unit of strength and also
ratio between strength of concrete and the quantity of cement are offered.
132





Active mineral admixtures (pozzolans) are added directly in concrete mixes
and widely applied to economy of cement and their most power-intensive
component - cement clinker.
"Cementing efficiency" or amount of cement saved at adding active mineral
admixtures depends on many factors characterizing their composition,
structure, fineness, terms of hardening, age of concrete, etc.
The characteristic feature of a modern concrete technology is wide
application of chemical admixtures for achievement of necessary concrete
properties, declines of expense of financial and power resources at
making concrete and at its application for constructions.
Expenses for the admixture (E ) at production of concrete can be
xa
calculated as follows:
Ex = C A + Ex adt , (7
.1)
a
a
a
Where C - cost of the admixture per 1 m3 of concrete including necessary
a
transport costs; A - the specific amount of the admixture;
adt
Ex
- the specific costs connected with additional processing of the
a
admixture, its storage, batching, change of the composition of
concrete mixture, etc.
133





For manufacturers of concrete (concrete mix, products and structures) is
important to distinguish the economic effect provided by the admixture due to
economy of other resources during manufacture and effect reached at concrete
application.
Expenses on admixture (E ) at the production of concrete mix are justified, if
xa
the following condition is executed:
Ex < Ex + Ex − Ex ' − Ex '
(7.2)
Describe what you're looking for in as much detail as you'd like.
Our AI reads your request and finds the best matching books for you.
Popular searches:
Join 2.9 million readers and get unlimited free ebooks