
,
.9)
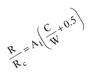
where R-concrete strength; C/W–cement-water ratio; A and A 1
coefficients.
79








R/Rc
C/W
Fig. 4.4. Typical relationship between strength of
concrete (R), strength of cement (Rc)
and cement-water ratio (C/W)
80





4.3. Adhesion between aggregates
and cement stone
Aggregates, making the bulk of concrete and forming the
concrete structure as composite material, actively affect
concrete strength foremost through strength of adhesion of
cement paste (stone) with their surface.
Gordon produced the test of different kinds of aggregates.
Strength distinctions of concrete arrived at 50%.
81






R, MPa
Vag
Fig. 4.5. Relationship between
volume of aggregates in the
volume of concrete (Vag) and
compressive strength (R) of
concrete:
1 –
complete coupling of
aggregates and cement paste;
2 – coupling is fully absent
82






4.4. Influence of terms and duration
of hardening concrete
Concrete strength in definite age is determined in accordance with
Skramtaev formula:
lg n
R
R
Describe what you're looking for in as much detail as you'd like.
Our AI reads your request and finds the best matching books for you.
Popular searches:
Join 2.9 million readers and get unlimited free ebooks