


The crew is to investigate a black hole, formerly Antares, at a distance of 600 light-years from Earth. Reading this book has well prepared the crew for its mission.

Fortunately the axis of rotation is not directed towards earth so our home planet will remain quite undisturbed by the radiation and flares of the Supernova, the X-ray and Gamma-ray beams of the black hole at the centre. Antares had a companion star, which added to the mass of the binary system, making the situation even worse. Both stars have disappeared and a supermassive black hole has emerged replacing them. What will happen to our crew when travelling to that incredible destinationt?

After launching from Earth, the space ship will accelerate progressively. The acceleration is chosen such that the crew feel comfortable, approximating Earth‘s gravity. After a year´s flight time the speed of the spaceship will have achieved approx. the speed of light - according to the laws of Newton ( t = v/b ). By then, the spaceship will be travelling a distance of one light-year per year. At that point some strange effects will appear, as predicted at the end of the 19th century by a physicist named Hendrik A. Lorentz.
Lorentz discovered in 1892, that for a fast moving mass (our space ship is one such) a contraction in length will occur in line with the movement. He devised the formula:


As early as 1892 Lorentz had described a phenomenon now called the Lorentz-Contraction. It relates to any observer of objects travelling at high speed. Such objects experience a contraction of the length, in the direction or line of movement. He came to this astonishing conclusion whilst checking the results of the experiments of Michelson and Morley (see p.24). Later, Einstein reused those findings of Lorentz in his equations describing the Theory of Relativity.
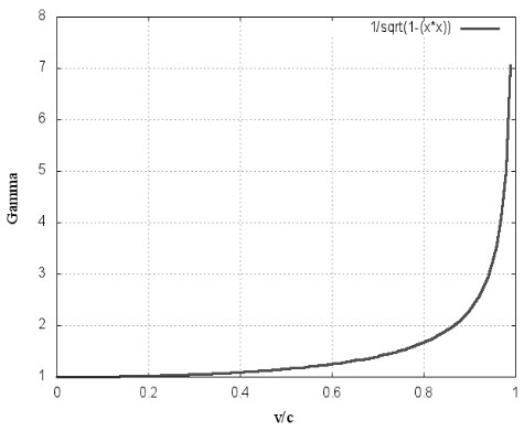
The following chart will make use of Lorentz‘s formula in calculating the contraction of any object (here, our ill fated space ship) by the factor γ versus the velocity v towards c, the speed of light. V=0 means no movement, v=0,99 means a speed of 99% of the speed of light.

Table of the contraction factor calculated with the help of the
Lorentz Formula: Ship speed v versus the contraction γ
In this equation, it is assumed that for the observer of relative movement, the length of the object is measured by subtracting the simultaneously measured distances of both ends of the object. For example: for a moving object with the speed of 90% of the light, its length will become half, when measurement is carried out in the direction of the movement. The width does not concerned the observer, remaining constant during the observation. This means, that the appearance of the spaceship (to the Observer) is distorted and foreshortened


Einstein recognized another phenomeon, closly related to the Lorentz contraction: he noticed a change of time onboard fast moving objects, by the name of time dilation. This Latin phrase means "delay, suspending or respiting" of something and stands for the fact, that time will change within any fast moving object. In Lorentz´s formula on page 79 , the length L simply has to be replaced by the time t, the rest remaining unchanged.
In the theory of relativity, time dilation is an actual difference of elapsed time between two events as measured by observers either moving relative to each other or differently situated from gravitational masses. When length L is substituted by the time T, Einstein’s formula calculating time dilation becomes:

T stands for the time elapsed on Earth and To for the time in the spaceship. The formula shows that time for a moving object is retarded in relation to another object fixed in space, in same way that its length is shortened. Time dilation is a proven fact. Hence time has to be corrected in the clocks of fast moving satellites of Earth, as in those of GPS navigational systems. Time dilation maintains the order of the Universe and ensures that the velocity of light is constant.



It seems therefore that Mass, Time and Space are closely related in some mysterious way. It may well be that they are one and the same manifestation of the very same phenomenon. The formula shows simply that three physical parameters are not permanent nor constant, but the velocity of light IS, and quite incapable of any change.
That is an agreement to the contrary, just in the contrary thought 300 years ago during the life time of Newton.

In that formula, if v equals the speed of light, c (So let us set v=c) a division by zero will be carried out. Equally, we had, when discussing Newton’s formula concerning the attraction of two masses (see page 13), if the distance is set to zero, the result becomes mathematically infinite. In physical terms it means that mass and time will become infinite. All of this makes no sense in the real world. It becomes quite obvious that the equations of Einstein, in the case of fast moving objects. are no longer valid. When an object approaches the speed of the light they can´t be used any more.
Einstein and his predecessors Lorentz, Minkowski et al were busy studying the behaviour of space and time among moving inertial systems. Einstein´s conclusion was that they were both the same, both were accepted. Einstein´s formula is only valid when these moving inertial systems move at a velocity lower than that of light. Because of the equations of Lorentz, Einstein found that space, time and mass are variables and not fixed values, depending on their state relative to each other.

Usually we do not notice the relativistic effects on Earth because all movements happen too slowly to measure. Even the high speed of Earth itself, orbiting The Sun at a speed of 30 km per sec is too slow, compared with that of the speed of light at 300.000 km per sec.
But the Global Positioning System (GPS) for instance has to take into account such time dilation for the clocks on board. To achieve high accuracy, various corrections have to be carried out which prove the truth of Einstein´s equation of the Theory of Relativity.
With the ever-increasing speed of the space ship, time is steadily retarded for any travellers because of the effects of relativity on board. When years, decades and centuries have passed by on earth, time on board the space ship has changed by only weeks and months. In the case of the Crew´s deciding for any reason (perhaps feeling home-sick or because of any technical malfunction) to turn round and head home, they would find that their home planet would have aged far more than they had. Watches on board may show travel time of some months, while earthbound clocks would indicate that some hundreds of years had passed. It is quite likely that nobody on Earth would know a thing about this space ship which had set out for Antares so long ago. The brave crew could have been quite forgotten by now. Towns may have been destroyed and even the language will have altered.

Home planet Earth will have aged and may have changed completely beyond recognition when space travellers return from a long, high speed journey (Wiki)
All relatives would certainly be dead and it might well happen that the world has changed completely. Obviously, the travellers would have arrived at home well into the future. How far into the future their voyage might be, would depend upon their speed of travel. In accordance with the formula of the special theory of relativity, it is quite possible to undertake journeys into future. However, journeys to the past are definitely ruled out.
If nature did allow journeys back into the past, a socalled time paradox would appear. The Time Travellers could interfere with events which had happened far in the past and therefore alter the situation at the present time. For instance, a man could arrive and interact with a certain event before he had been born. Time-paradoxes could arise if reverse time-travel were allowed by the Universal law. To avoid such paradoxical situations, backward time-travel seems to be excluded by nature. The latest studies confirm that theory.
However, that means, that our Time Travellers are now marooned in the future. There is no way back to the past. Utter Disaster. Fully aware of that, our crew decides to press on with their "Voyage Into The Unknown".

They continue their ill-fated flight towards the black hole. The crew meanwhile, has detected the black hole that has been created inside the supernova, formerly Antares and they are fast approaching the event horizon.
The instruments on board tell the crew of the presence of a bright accretion disc, emitting X-ray and Gamma-ray and other forms of electromagnetic radiation, around the black hole. Accretion means the conversion of gravity into pure radiation power. The crew trusts its shields. Moreover, they have read some bad Science Fiction literature, believing in travelling to distant galaxies with the help of so-called Worm Holes, interconnecting some kind of black holes. Just wait until they try!
What will happen? The space travellers, attracted by the black hole, have already reached the "Point of No Return."
There is no way back!
The space ship has begun to orbit the black hole irretrievably, together with all kinds of interstellar matter, attracted by the same circumstances. Arriving in a helical trajectory, the space ship will experience lateral forces when approaching the black hole. These lateral forces compel all matter into orbit, in the same huge and flat disc plane at ever increasing speed and in accordance with the formulae of Einstein and Lorentz. The space ship will gain in mass, weight and velocity. Time on board will be further delayed until it will stops completely. The travellers will notice none of that because they are part of the same inertial system.
Observers on Earth would have noticed that the speed of the space ship had diminished, eventually coming to a standstill. It would have stuck at the event horizon for long time, deadlocked.
Before becoming invisible from Earth, the space ship would have seemed to be fixed, glued at the event horizon, fixed in front of the black hole. These illusions gave the name to black holes before 1967. They were previously known as "Frozen Stars".


Now the space ship has crossed the event horizon and has entered a zone within which the laws of the Theory of Relativity are no longer valid. From this very moment on, the space ship will become invisible to earth.
Ship and crew inside the Black Hole will experience that which all interstellar matter suffers under such extreme conditions including Red Shift and Time Shift or dilation. This will be described on subsequent pages.

The question now arises as to whether the space ship has actually reached the Black Hole or not. The answer to that question is a definite yes, but not in our time!
Objects approaching a Black Hole experiences a RedShift and a time-dilation simultaneously!
What would happen to a space ship and its crew, irrevocably crossing the event horizon of a Black Hole? We shall see in the next pages.
Here is the bad news first: the crew would be killed by the immensely high level of all kinds of radiation, from the the accretion forces when crossing the event horizon. High temperatures, hard X-ray and Gamma-rays, all are deadly. Hell could not be worse. Furthermore, close to the black hole another, huge force, Tidal force appears. The gravitational attraction of any massive celestial object can become immense. Close to the black hole this force causes the slim prow of the space ship to undergo much greater attraction than the stern. Fore and aft will be pulled apart like chewing gum. This perturbing force has yet another nasty consequence.
Force field lines passing through the centre of the black hole, the singularity, are not in parallel. This leads additionally to a lateral component of the gravitational forces, crushing the tortured space ship. Stretched like spaghetti and squeezed, the space ship will collapse, disintegrate and break up. From this point, there is only one course for the shattered remains of the space ship: towards the singularity in the very centre of the black hole.



Saturn – picture taken by amateur astronomers of the VSW Munich
Saturn – the 6th planet in our Sun system – is supposed to have had a former moon, broken into pieces by the influence of Tidal forces when straying too close to Saturn. The remaining debris of its moon, forms a spectacular ring which can easily be seen through binoculars at a clear night sky.
What happens to the rest of the material ?
Beyond the Schwarzschild-radius, no research can be carried out. It is beyond the range of scientists on Earth. It is also supposed that all equations of the theory of relativity, cease to be valid in that area of extremes. Time will terminate at the final point, the singularity. This point has infinite density and zero size. But one thing is likely :
The components of all the atoms of any matter feeding the black hole (this means ship and crew) are probably still in existence. These components are the electrons, protons and neutrons in a form we call degraded matter, in same form as the inside of a neutron star. We can only assume that, not knowing for absolute certainty.
Speculations on the internal conditions of a black hole have long been under discussion. We will continue to focus upon them.

The laws of Physics are usually symmetrical. This means that if something is consumed by a black hole, something must be lost, to keep space in balance. This would also satisfy the Laws of Thermodynamics. If so, that would mean that black holes are able to grow, diminish and eventually disappear.
Is it feasible that something could fall into a black hole, and emerge elsewhere in space? Such a place is called a "White Hole", predicted and favoured by science fiction authors, who speak of "wormholes" allowing fast and easy travel throughout space. Even Einstein made calculations about such wormholes in space. They are called "Einstein-Rosen bridges". Finding them would be an ideal method for providing space travel.

Not only science fiction authors but even some physicists speak of space travel, utilising White Holes for remote destinations. They have predicted the existence of some small and young new universes. If such a parallel universe were to dock with the space-time of our Universe, a new black hole would appear within our Universe. If a space ship could actually survive, indeed a new form of space travel would have been found. However so far, nothing has suggested to scientists any indication of the existence of White Holes.
Describe what you're looking for in as much detail as you'd like.
Our AI reads your request and finds the best matching books for you.
Popular searches:
Join 2 million readers and get unlimited free ebooks