

Misa was not yet able to put her decision into words.
The group lingered in the little mountain village for a couple of hours, gathering all the information they could, and handing out a few coins to those who had lost everything.
When they couldn’t think of any more reasons to stay, they looked at each other, and without a word from anyone, began to shoulder their packs and get Mati mounted. As soon as they stepped onto the road, Misa hopped up and planted her bare feet beside their boots, pointed in the same direction, north.
Ilika smiled at Kibi, and Boro offered the seven-year-old a shoulder ride.
The mountain road continued to wind through the forest into higher and higher elevations. Kibi suggested an early camp, and it wasn’t long before water, berries, and a level place were all located close together.
The trees here weren’t as large as those at lower elevations, and included more tall, slender trunks reaching up into the sunlight with rustling leaves. In a much better mood than earlier in the day, the students fanned out to explore, gather berries and wood, and see if any other wild foods were at hand.
Misa, lacking shoes, stuck close to camp, so Ilika got out the map so she could see their route. She was intensely curious about the roads around Lumber Town, and seemed to understand which way the fire had gone, having seen it sweep through the town with her own eyes. When tears started
flowing again, Ilika held her close until Buna returned. “Here’s your friend Buna,” Ilika said over the girl’s sobs, and Misa quickly grabbed Buna and didn’t let go.
Eventually the aroma of mushroom soup, simmering on the fire, allowed Misa some distance from her grief and confusion. The other students were laughing, talking, and eating berries. She peeked out from under Buna’s cloak and opened her mouth when Rini offered her a ripe, juicy berry.
That evening was a story-telling marathon.
They started with some of their old favorites, like Mati and the Bottomless Pit and Miko and the Steam Vent. Soon they moved to tales that had not been told before.
Boro tackled the sad story of Kit and Mommy, which Misa could relate to very well. But she frowned at the part about Kit still sleeping on the grave two years later.
Buna was happy to retell The Thieves Who Ran Away, as she loved to keep track of what Ilika’s bracelet could do. Then she told the others about the newest addition to her list, the blue light that had held the fire at bay in the stable.
Misa, seated between Ilika and Buna, looked at the bracelet, but didn’t dare touch it.
Mati
told
Tera and the Invisible Dragon, and even though she loved her donkey dearly, admitted that Tera wasn’t the most intelligent creature in the kingdom.
Sata had a story to tell, and couldn’t think of a better name than Sata and the Ocean. All her friends had seen her sitting at the edge of the water, but now she shared what was going through her mind as she tried to work out her relationship with the powerful forces of the universe.
Rini
attempted
The Fox and the Wolf, but had a hard time putting his own part into words. Eventually he accepted suggestions such as “brave” and
“determined.”
“I wonder if I’ll have stories someday . . .” Misa pondered out loud.
“You already do!” Miko assured her. “Someday, you’ll be able to tell the story of the fire.”
NEBADOR BookTwo: Journey 220
Misa cringed and closed her eyes.
“Sometimes they’re a little painful at first,” Kibi admitted, “but as time passes, they get easier to tell. Stories are like that.”
Buna put her arm around the girl. “And if you stick with us, you’ll collect stories very quickly, I promise!”
The following morning, Misa was completely confused when Ilika got out paper and pencils.
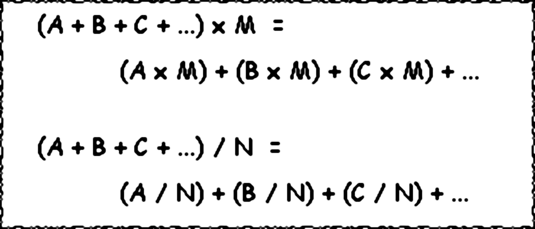
“I’ve mentioned the distributive property before, but now all my students need to get comfortable with it, as you’ll need it very soon. It works with division, but only a divisor can be distributed. Addition, as usual, can also be subtraction. Let’s practice.”
He gave them each an expression to distribute, and another to do the reverse. Rini, Toli, and Sata had it from the general formulas. The rest had to work.
Once all his students had mastered the process, Ilika turned to Misa.
“What do you think?”
She frowned with worry for a moment, staring at the mysterious formulas.
Then she glanced around and saw smiles and grins on all the faces around her, including Ilika’s, and relaxed. “Looks like magic to me!”
After a simple lunch of bread, cheese, and berries, they packed and continued up the road. Toli offered Misa a ride.
They hadn’t gone far when Toli came to a sudden halt. “Ouch! Stop it!” he said with a deep frown, looking up at his passenger.
Everyone gathered around and looked up at Misa, her expression a cross
between a grin and a pout.
“I thought they were mosquito bites,” Toli whined, “but they were pinches.”
“I won’t let you hurt my students,” Ilika said firmly to Misa. “Let her walk, Toli.”
Misa pretended to be happy, for about the first hundred yards. Then the whimpering began.
Ilika and Toli talked quietly, and agreed a half mile would be good for her.
After they covered that distance, with Misa picking her way behind as if walking on something hot, Ilika called a short rest stop.
Misa disappeared into the bushes, and a few minutes later knelt before Toli with two little outstretched hands full of berries.
Toli was deeply touched, almost moved to tears. After sharing the berries with the seven-year-old, he lifted her up to his shoulders.
Deep Learning Notes
Children often respond poorly to verbal directions, especially when deep feelings are involved. By simply getting ready to leave the village, more was communicated to Misa than any nagging adult could have accomplished. The author has often observed teachers talking themselves hoarse about putting on coats, lining up, staying together, hurrying, etc. An occasional wise teacher just models the necessary behavior. Observation and peer-pressure do the rest. This only works, of course, when the task at hand is interesting to the children. If it is some tedious routine imposed by an institution that doesn’t understand children, then the yelling and nagging are necessary.
Grief is usually processed in phases. In this chapter, seeing the map caused Misa’s tears to flow again. Some adults confuse the emotional trauma (seeing the fire and her fleeing parents) with the healing process (crying) and try to stop children from grieving. Of course, there are times and places that are too dangerous for grieving, but in general, tears, screaming, even violence, are part of the human emotional healing process, and should be allowed
whenever possible.
Why do you think Misa didn’t relate to all parts of the story about Kit?
Why did Rini have trouble telling about his actions with the wolf?
In any mathematical formula using addition, subtraction also works because subtraction is the same as addition of a negative number: A - B = A + -B
Some people would call it “child abuse” to make a seven-year-old girl walk half a mile, barefoot. This is, of course, because we are rich enough today to have bicycles and cars, and so we rarely walk. The author has observed social workers take children away from families because they didn’t have milk to put on their Sugar Frosted Flakes, without stopping to realize how rich a family is, compared to families throughout history, when they have Sugar Frosted Flakes. Do you think it is a proper use of laws and police to enforce such rising social expectations?