
Doctor Bo-kamla arrived at seven o’clock, worry written on her face.
Heather was already dancing.
“You didn’t sleep, did you?” Susan asked from the dance studio doorway.
Heather flashed her a grin. “But I did remember to keep my blood sugar up. And I promise you, I’ll be in bed right after lunch today.”
“I guess . . . you know your rhythms better than anyone else.”
“I must admit, I surprised myself yesterday. After five hundred and forty-five sessions, I didn’t think any topic could bother me.”
“You were wrong.”
Heather nodded as the song ended. “What’s Maria cooking?”
Nine o’clock approached, and with Ben on vacation, Ginny was behind the tape recorder. As she chatted with the new records specialist, a young sergeant just learning the procedures, she spotted Heather coming out of the dining room laughing about something with General Bo-seklin. More officers and professors were coming up the stairs and finding seats, so Ginny turned her attention back to the binder the sergeant had open on his lap.
A few minutes later, General Ba-kerga stopped by the couch. “You comfortable with that machine, Lieutenant?”
“Yes, Sir. Lieutenant Ta-nibon and I have been switching off for several sessions now.”
“Good. I’m going to start a walk-through.”
After the general was gone, the sergeant took on a puzzled expression.
“Walk-through?”
NEBADOR Book Nine: A Cry for Help 135
“Someone has to make sure no one’s in the building without proper clearance. Any security person could do it, but George must have noticed we’re all busy. He’s mellowed a lot since making general and becoming security chief of the whole air base.”
The sergeant nodded and looked at the binder again. “So the tape goes in this slot after the session?”
“And the blackboard photos in this plastic sleeve after we number them with the black marker . . .”
Once the tape was going and the formalities were out of the way, Heather stood silently and looked over the assembled team. As was always the case, few of them had any idea what the topic would be. Part of their commitment was regular attendance, except for occasional vacations, as no one could predict when certain expertise would be needed. Even the generals and colonels who planned the topics were often surprised by who was most involved in the discussions.
“Today . . . is going to be . . . a little different,” Heather began solemnly.
“For the first time, we’re going to look deep into the next century — at least, as deep as I can take us — and . . . that will be far enough.”
Heather noticed General Ko-fenral frowning.
“We’ll be looking at conditions in a much broader sense, and not discussing any specific laws, treaties, or events. A thorough exploration of this topic will require at least three sessions, easily six, and to be frank, I can’t predict when we’ll get back to regular topics.”
Now most of the officers and about half the professors were frowning.
Heather felt a fleeting desire for a hole to crawl into.
“I hope all of you will try very hard to be present at all three sessions this week. Is anyone missing, Sergeant?”
The new records specialist, who had just completed the team attendance checklist for the first time, fumbled with his binder for a moment. “Um . . .
only Lieutenant Ta-nibon is absent.”
“That’s right, Ben’s on vacation, sipping tropical mangosteen cocktails somewhere . . .”
Chuckles coursed through the room, lightening the mood.
NEBADOR Book Nine: A Cry for Help 136
Heather added her own smile. “Also, I’m not sure when we’ll have time for questions, possibly not today. I’ve warned Maria that we definitely won’t get out early, and might be late. She promised to keep everything hot.”
More smiles and nods helped with the mood.
Doctor Bo-kamla was, as usual, quite amazed at Heather’s ability to manage the emotional tone of the meeting, and knew very few of her fellow psychologists could do as well.
Heather drew in a slow breath as she took some random steps in the middle of the meeting circle and gazed at the floor. Eventually she looked up.
“I will begin the topic with a very personal story. I will, as you have heard me do many times, use first-person pronouns when I really mean the person whose memories I have. You’ll have to forgive me. The accurate term is just too clumsy.”
They all nodded their forgiveness in advance.
“You probably remember me saying that I died at age eighty in the year 3735. I don’t know if you ever noticed, but I never said I died of old age. I was very careful to always say I died in old age. It is certainly true that my body was failing in some ways, but none of those were fatal. My eyesight was almost gone, down to just unfocused light and dark, with almost no color. My hands were weak, but nothing unusual for that age. I walked with a cane, but rarely fell, and luckily never injured myself doing so.”
Heather saw that her listeners had settled into the story, their earlier discomfort replaced by a tender sadness.
“The truth is, I did not die of any of the ailments usually associated with old age. I died of starvation.”
After giving them a few moments to recover, Heather began to chat about the circumstances of the last few years of the life she remembered. It wasn’t long before she focused the story on the relevant events.
“. . . and I clearly recall the young man, about fifteen, who carried my groceries home the last time I was able to get any. I remember him so well because he was the last human being I ever spoke to. I could not see him clearly, of course, but knew he had dark hair. His voice was soft and musical, and I remember thinking he could have been a talented singer. I gave him a
NEBADOR Book Nine: A Cry for Help 137
small gold coin as a tip, and he was tongue-tied with gratitude.”
Heather glanced at her audience, and judged she was holding their interest.
“Two weeks later, I journeyed to the little grocery store again. A block and a half south, three short blocks west. When you’re nearly blind, counting blocks is important!”
Several people smiled, and Doctor Tu-feltin grinned without quite looking at Heather.
“Sea gulls squawked, as usual, but no human voices came from any direction. I arrived at the store, but found it locked and silent. I called and knocked, but got no answer. Feeling with my cane, I discovered that the stuff they usually had out on the sidewalk — bundles of firewood, buckets, sometimes pumpkins and squash — were all gone. I worked my way completely around the outside of the store, calling out for anyone who might hear, but found nothing and no one.”
Heather could sense they shared her frustration.
“The one thing I could not do, and wished with all my heart that someone would help me with, just for a minute, was to read any sign that explained why the store closed, or where it might have moved to.”
General Ba-kerga nodded with sympathy.
“I went back to the store several more times, in case I had just gone on a bad day, and I walked as far as I could in every direction, always planning my route beforehand, and carefully counting blocks. I called and listened. Only the sea gulls called back.”
Several team members sniffled.
“Although it was dangerously far — eleven blocks each way — twice I undertook the long journey to the nearest busy street. Or I should say, the nearest street that had once been busy. Both times I sat on a bench for hours, and never heard a human voice or a vehicle.”
“Wow . . .” someone said softly.
“My mind was still sharp — I realized I had created my own trap. Because the city water system had failed about eight years earlier, I had been careful to get a house that had a roof-top rainwater catching system. I actually bought the house. By that time, not many people bothered with such formalities.”
NEBADOR Book Nine: A Cry for Help 138
Several team members chuckled nervously.
“But I didn’t realize what would happen if the neighborhood ceased to have a store. I must explain that by 3730 or so, the store was little more than a trading post. Few factory-made goods were for sale anywhere. Mostly it handled vegetables from people’s gardens, some fresh fish, a little home-canned food, firewood, and second-hand stuff. Even so, it had provided me with the basics.”
She saw nods of understanding.
“So at some point in the middle of April 3735, the little store was gone without a trace, all other people seem to have left the neighborhood, and I was completely without the ability to relocate myself to . . . anywhere the necessities of life might be available. I was angry for a while that no one, not even the fifteen-year-old young man, had cared enough to come tell me. But I eventually let go of my anger, counted my blessings, and started searching my cupboards.”
After a moment of silence, Heather began laughing and crying at the same time. Most people in the room were unsure how to respond.
“The most memorable experience . . . of the last month of my life . . . was spending an entire day . . . working with barely-seen kitchen tools and weak hands . . . to get a jar open . . . only to discover that it was very hot mustard!”
They laughed with her, but many eyes were far from dry.
“I could go on for days sharing memories from the last few weeks of our old psychologist’s life, as they are much closer in time for me than most of the topics we’ve covered. But that would give the team little additional insight.
Suffice to say that she died in her own bed, dealing bravely with the pain but not letting it make her crazy. I guess that’s about the best anyone could hope for under the circumstances.”
Most people nodded with long faces, while Colonel Ma-soran dabbed at tears.
“Susan, however, as my therapist, might get to sit through a more detailed account.”
Many of those long faces chuckled, and Doctor Bo-kamla smiled back at Heather.
NEBADOR Book Nine: A Cry for Help 139
“If you do that, please record it,” General Bo-seklin requested.
Heather nodded. “So . . . why was a respected, successful, retired psychologist, with plenty of money and other assets, who owned and lived in a nice little house in a middle-class suburb of this great city, unable to get utilities, groceries, or any kind of help with anything?”
“That’s what we’re all wondering,” General Ko-fenral said as everyone else nodded.
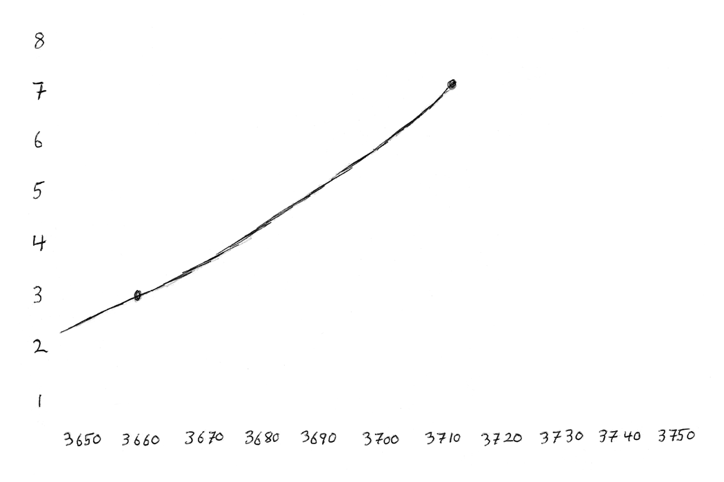
Heather turned to the blackboard and marked off every ten years from 3650 to 3750 along the bottom, and the numbers one through eight along the left side. “Doctor Tu-feltin, what was the population of the world in 3660?”
“Almost exactly three billion.”
“Thank you. As you know, I remember few precise dates from the future, but sometimes one was so memorable that it stuck in my mind. On the thirty-first of October, 3712, as close as these things can be estimated, the population of the world will pass seven billion . . .”
Several people whistled.
Heather glanced at them with an understanding smile, then turned back to the blackboard. “I don’t remember exactly when the other whole billions will be passed, but it’s a smooth exponential curve that looks something like this.”
She finished sketching a curving line that went up more and more steeply as it moved from left to right. “As you know, it will be a fairly peaceful and very prosperous half century. Deaths from wars and natural disasters — thousands or at most tens of thousands — don’t show up on this scale.”
NEBADOR Book Nine: A Cry for Help 140
“I’m confused,” Doctor Po-selem said. “This seems to contradict the story you just told.”
Heather put a finger to her lips.
The physicist glanced around and saw several people glaring at him.
“Oops, sorry, I forgot.”
“As Chris just experienced, incomplete stories will often be confusing. One of the reasons this date is so memorable is that it’s the last time the human race will pass a whole billion.”
Heather was quite sure no one was breathing. She couldn’t think of anything she could do to help them at that moment, so she returned to the blackboard.
“We just barely reach an estimated seven and a half billion in 3717.” She continued the population curve up a little, then sketched a hump at about the right date and level. “After that, things start happening very quickly. The last official estimate I could get was two and a half billion in 3730.” She sketched a line sloping down steeply to that point. “I had radios and batteries. Too bad I couldn’t eat them.”
Except for a few nervous chuckles, the entire room sat in stunned silence.
Heather knew she dared not pause for long. “I do not know what happened to world population after that, as all official news broadcasts failed later that same year. It could have recovered quickly, leveled out, continued to drop more slowly . . .” She sketched several alternate curves with arrowheads. “. . . or continued to follow this trend right down to the bottom.
In that case, our old psychologist didn’t miss much.”
Several mouths were hanging open.
“Judging by local conditions, and what I could learn from amateur radio operators, it was most likely one of these bottom two situations.”
Some cheeks were wet. A few people looked like they wanted to run and hide.
Heather knew how they felt. She had experienced the same range of emotions just the day before.
NEBADOR Book Nine: A Cry for Help 141
“It’s almost eleven o’clock. Yes, I know why this population crash happens, and I promise not to leave you in suspense. But I believe many of us have needs, so I’m going to declare a fifteen-minute break. However, I want everyone to hold their discussions until we’ve taken one more step together.”
Several people dashed for the toilet rooms.
Heather collapsed into her plush chair.
General Ko-fenral made a thumbs-up sign. “Good call on the break.”
Susan came over. “What can I bring you?”
“Tropical mangosteen cocktail, double shot of rum, crushed ice, lemon twist.”
The therapist chuckled. “I’ll see what I can find.”
About twenty minutes later, the team members slowly, reluctantly, dragged themselves back to the meeting circle.
“I’m going to tell you what caused the population to crash,” Heather began when she stood up after everyone got settled, “but I’m not going to give you, at this time, any details. I think you need to hear it from one of your own scientists. Unfortunately, the kind of scientist we need is not yet on the team
. . .”
“We’ll get one!” General Bo-seklin declared.
Heather nodded. “Once the proper scientist has spoken on what I’m about to describe, then we can all discuss it much more fruitfully, and I can fill in actual events.”
NEBADOR Book Nine: A Cry for Help 142
She turned and looked at the blackboard silently for a moment. “There is nothing unusual about this population curve. Any undergrad biology student would recognize it. Any organism . . . I repeat, any organism . . . will always strive to maximize its population. Then it will reach some kind of limit, usually the food supply, and the population will fall. Yeast in a vat of wine . . .
deer on a wooded island . . . people in the world . . . no real difference.”
A few of her listeners looked a bit offended by the comparison. Heather couldn’t bring herself to care.
“Many different kinds of limits could have done this to us, but the one that will get us is not even on our radar yet. Maybe someday we’ll talk about why that is, and I’m sure Susan will have some insights to contribute, but we aren’t ready to do that today.”
They looked relieved. Heather saw Colonel Ma-soran make a note.
“What crushes us is . . . we gain one of the powers of God, without also gaining the wisdom of God.”
She saw that she had their undivided attention.
“We began, in about the year 3500, to change the climate of our planet. It started very, very slowly and has not been noticeable, is still not noticeable, and will not BECOME noticeable until after the year 3700. But the change is happening, slowly, every year, accumulating more and more, compounding and reinforcing itself.”
Several people were trying to take notes. Others just stared with wide eyes.
“By the time it’s clear what’s happening, it will be irreversible. Scientists from that point on, for as long as there are scientists, will argue about when we could have done something. Most will agree that we could have stopped it if we had acted in 3650 or 3660. Almost none will suggest we could do anything after 3680.”
She took a moment to bracket those years on the blackboard, then turned around and saw realization dawning on a few faces.
“Yes, isn’t it interesting that I have brought you these memories, and you have grown to trust me, just as we are passing the middle of the time period in which maybe, if scientists of the future are correct, something can be done to avoid a collapse of our population, and therefore our civilization, in the near
NEBADOR Book Nine: A Cry for Help 143
future?”
Several heads nodded slowly.
“It’s almost noon. I want to end by giving you some hard numbers. These are the numbers we need a scientist, a climatologist, to talk to us about as soon as possible.”
She turned to the blackboard and drew a simple graph as she spoke. “Plus one degree Celsius in 3715, plus two degrees in 3721, plus four degrees in 3729.”
She turned back to the team. “What I have shared with you today is too big to understand completely in any short timeframe. Many of you will have emotional reactions, and believe me, I’ve had them too. In the coming days and weeks, we will take this apart, piece by piece, and get any expert advice we don’t have among us. We’ll digest it together, until we understand it and no longer feel overwhelmed by it. Then, and only then, will we have the knowledge and wisdom to begin contemplating what, if anything, can or should be done.”
“Well said,” Three-star General Ko-fenral declared.
“Ginny, please close the session,” Heather requested.
“Program P-Seventeen, Session Five Forty-Six ends at twelve hundred hours, seven minutes. Two blackboard photographs.”
At lunch, Heather tried to sit with others and listen to the conversation,
NEBADOR Book Nine: A Cry for Help 144
but her eyes were soon closing against her will. She barely managed to finish her salad and enchiladas before dragging herself to bed.
While she began her fifteen-hour nap, the generals and colonels met in General Bo-seklin’s office.
For the first minute, they just looked at each other.
Colonel Ma-soran, as the program’s executive officer, decided to break the ice. “This is the one, isn’t it?”
Every face held a mixture of excitement and dread — excitement that all their time, efforts, and expenses would finally be vindicated — dread about the nature of the prediction itself.
General Bo-seklin took a deep breath. “It looks that way, but we need to know a lot more, and as Heather said, there’s no way to do that in one day, even one week.”
“And yet,” General Ko-fenral stepped in, “there is some urgency about this.
If the scientists she quoted were correct . . . will be correct . . . you know what I mean . . . then we act now, or very soon, or forget it.”
“Forgetting it . . . doesn’t sound like a good plan,” Colonel Ma-soran strongly suggested.
After a long moment, General Bo-seklin nodded. “I’ll have a climatologist in here on Wednesday, even if it’s without clearance just to study the hypothetical situation. And I want all those civilian professors in my office in five minutes. Lisa, George, help me put the fear of God into them about doing anything prematurely . . .”
Describe what you're looking for in as much detail as you'd like.
Our AI reads your request and finds the best matching books for you.
Popular searches:
Join 2.9 million readers and get unlimited free ebooks