
Appendix I
FINDING
THE FIRST DAY OF AN ARABIC MONTH
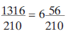
There are various methods for finding what the first day of an Arabic (lunar) month is. The most valid of them is the one written by Uluğ Bey. According to his method, initially the first day of Muharram, the first month of the Hijrî year is found. To find the first day of Muharram, the year in question is always divided by 210. The last digit of the remainder of this division is subtracted from the remainder and this second remainder is looked up in the first colaumn of the first table [below left.]. In the other columns of the same table, the number corresponding to the first digit of the remainder written in the first line of the table is obtained to be the number corresponding to the day of the week beginning from Sunday. And it is the first day of Muharram. Let’s find the first day of Muharram of the Hijrî year 1316, for example:

The first digit, 6, is subtracted from 56, the remainder, and thus 50 is obtained. Across from the number 50 in the first column, 1 is written in the column headed by 6, the first digit. Thus, the first day of the year is found to be Sunday. After finding the first day of the year, the first day of a mounth is found by the use of the second table. In the line containing Muharram, the number corresponding to the first day of the year is found. The number below this and across from the month in question is the day, as numbered from Sunday, of the month in question. Let’s find, for example, the first day of Ramadân in 1316: the first day of this year is Sunday, i.e. the first day of the week, and, in the column headed by 1 in the first line of the second table, 6 is written across from Ramadân. Thus, the first day of Ramadân is the sixth day of the week, i.e. Friday.
Appendix II
ULUĞ BEY’S TABLES FOR LUNAR (KAMARÎ)
MONTHS

Appendix III
FINDING THE MÎLÂDÎ YEAR COINCIDING WITH THE BEGINNING OF THE HIJRÎ
YEAR
Every hijrî year begins in the mîlâdî (Christian) year following the year wherein the previous hijrî year began, and approximately eleven days earlier. Every 33.58 hijrî and 32.58 mîlâdî years, the beginning of the hijrî year takes place during the first ten days of January. TABLE III contains the hijrî years beginning in December. The hijrî year beginnings following each of these move backwards from this twelfth month, coinciding with each of the mîlâdî months in rearward order. For finding the mîlâdî equivalent of any one of the hijrî year beginnings that are not written on the table, the hijrî year previous to it and written on the table and the mîlâdî year level with it are found on the table. Difference between the two hijrî years is added to the mîlâdî year found on the table. For example, to find the mîlâdî year coinciding with the beginning of the hijrî year 1344: 1344 - 1330 = 14; hence 1911 + 14 = 1925. When it is checked on the table indicating the months (TABLE IV), it will be seen that it coincided with July, which is the month below number 14 on the table. The mîlâdî year with which a solar month in a certain hijrî year coincides is one year ahead of the number found if the month concerned is previous to the month with which the beginning of the hijrî year coincides.
Describe what you're looking for in as much detail as you'd like.
Our AI reads your request and finds the best matching books for you.
Popular searches:
Join 2.9 million readers and get unlimited free ebooks