
The gradient of a straight line graph is calculated as:

for two points
and
on the graph.
We can now define the average gradient between two points even if they are defined by a function which is not a straight line,
and
as:

This is the same as Equation 6.1.
Fill in the table by calculating the average gradient over the indicated intervals for the function f(x) = 2x – 2. Note that ( x 1; y 1) is the co-ordinates of the first point and ( x 2; y 2) is the co-ordinates of the second point. So for AB, ( x 1; y 1) is the co-ordinates of point A and ( x 2; y 2) is the co-ordinates of point B.
| x 1 | x 2 | y 1 | y 2 |
| |
| A-B | |||||
| A-C | |||||
| B-C |
Figure 6.1.

What do you notice about the gradients over each interval?
The average gradient of a straight-line function is the same over any two intervals on the function.
Fill in the table by calculating the average gradient over the indicated intervals for the function f(x) = 2x – 2:
| x 1 | x 2 | y 1 | y 2 |
| |
| A-B | |||||
| B-C | |||||
| C-D | |||||
| D-E | |||||
| E-F | |||||
| F-G |
What do you notice about the average gradient over each interval? What can you say about the average gradients between A and D compared to the average gradients between D and G?
Figure 6.2.

The average gradient of a parabolic function depends on the interval and is the gradient of a straight line that passes through the points on the interval.
For example, in Figure 6.3 the various points have been joined by straight-lines. The average gradients between the joined points are then the gradients of the straight lines that pass through the points.
Figure 6.3.

Given the equation of a curve and two points ( x 1, x 2):
Write the equation of the curve in the form y = ....
Calculate y 1 by substituting x 1 into the equation for the curve.
Calculate y 2 by substituting x 2 into the equation for the curve.
Calculate the average gradient using:

Exercise 6.2.1. Average Gradient (Go to Solution)
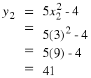
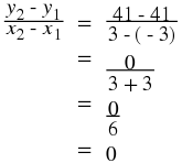
Find the average gradient of the curve y = 5x 2 – 4 between the points x = – 3 and x = 3
Definition of average gradient
Average gradient of straight line
Average gradient of parabola
An object moves according to the function d = 2t 2 + 1 , where d is the distance in metres and t the time in seconds. Calculate the average speed of the object between 2 and 3 seconds. The speed is the gradient of the function d Click here for the solution
Given: f(x) = x 3 – 6x . Determine the average gradient between the points where x = 1 and x = 4. Click here for the solution
Solution to Exercise 6.2.1. (Return to Exercise)
Label the points as follows:
to make it easier to calculate the gradient.
We use the equation for the curve to calculate the y -value at x 1 and x 2.


Calculate the average gradient :

The average gradient between x = – 3 and x = 3 on the curve y = 5x 2 – 4 is 0.
Describe what you're looking for in as much detail as you'd like.
Our AI reads your request and finds the best matching books for you.
Popular searches:
Join 2.9 million readers and get unlimited free ebooks