
Competitive Questions
Advanced Geometry by H.C. Rajpoot
Q.1.An electric bulb of 200 W is mounted onto the centre of one of the walls of a room of 2.6m x 2.6 x 2.6m Find out the total radiation energy striking the floor area if the bulb emits radiation uniformly in all the directions.
(Neglect height of bulb from the centre of wall)
Ans. 21.788 J/sec
Q.2.A uniform point-source of light is located at the centre of a torus having inner & outer radii 10cm & 18cm respectively. What will be the fraction of total radiation intercepted by the torus?
Ans. 2/7
Q.3.A torus intercepts of the total radiation emitted by a uniform pointsource located at the centre of torus. Find out ratio of outer to inner radii of torus.
Ans. 8/3
Q.4.A solar-panel of 30 x 30 unit2 is illuminated by a uniform point-source of light located at a normal height
unit from the centre of panel. Find out percentage of total radiation incident on panel.
Ans. 25%
Q.5. Find out the solid angle subtended by an infinitely long vertical cylindrical pole with a diameter D at a point lying in the plane of base at a normal distance 2D from the longitudinal axis.
Ans. ![]()
Q.6.A torus having diameter 8cm intercepts of the total radiation emitted by a uniform point-source located at the centre of torus. Find out inner & outer radii of torus.
Ans. 14cm & 6cm
Q.7.A uniform point-source of light is located at a normal height 8cm from the centre of an infinitely long rectangular plane having width 16cm. What will be the percentage of total radiation intercepted by the plane?
Ans.25%
Q.8.Some identical spheres are arranged, touching one another, in a complete circular fashion such that each of them intercepts of total radiation emitted by a uniform point-source located at the centre of polygonal plane obtained by joining the centres of spheres. Find out number of spheres.
Ans. 3
Q.9.A uniform point-source of 100 cd is located at the centre of a simple cubic cell. What will be total flux directly escaping the cell?
Ans. 334.24 lm
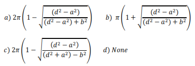
Q.10. Solid angle
subtended by an ellipsoid having major and minor axes 2a & 2b respectively at any point lying on the major axis at a distance d
from the centre is given by

Q.11.An ellipsoid with major axis 2a unit & eccentricity
subtends a solid angle
at a point lying on the major axis at a distance unit from the centre. The value of h/a

Q.12.A sphere with radius R intercepts 30% of total radiation emitted by a uniform point-source located at a distance from the centre. Then the value of d/R is equal to

Q.13. Solid angle, subtended by an infinitely long circular cylinder with a radius 14cm at a point lying in the plane of one of the circular-ends at a normal distance 84cm from the longitudinal axis, is equal to

Q.14.A uniform point-source of light is mounted at a normal height ‘h’ from the centre of an infinitely long rectangular plane having width ‘b’. If plane Intercepts 25% of total radiation emitted by the source then h/b equal to

Q.15. A circular plane intercepts 40% of total radiation emitted by a uniform point-source located at a normal height h from the centre. Then the area of circular plane is equal to

Q.16.A square plane intercepts x fraction of total radiation emitted by a uniform point-source located at a normal height h from one of the vertices. Then the area of square plane is equal to

Q.17.The angle between any two
in CH4 molecule is given as

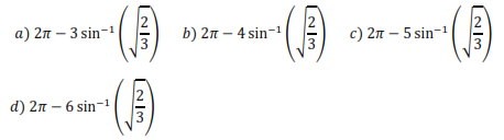
Q.18. Solid angle (in sr.), subtended by a right pyramid having base as an equilateral triangle & angle between any two consecutive lateral edges 30o at the vertex is equal to

Q.19.A uniform point-source of light is located at a point (0,0, -a) in the space. Fraction of total radiation, intercepted by a plane bounded by the straight lines ![]()

Q.20.A uniform point-source of 400cd is located at a point (0, 0, k) in the space. Total flux, intercepted by a plane bounded by the straight lines ![]()

Q.21.A right circular cone with apex angle 90o is thoroughly cut with a plane inclined at an angle 60o with the longitudinal axis of cone. Eccentricity of generated elliptical-section is

Q.22.A right circular cone with apex angle 60o is thoroughly cut with a plane inclined at an angle 45o with the longitudinal axis of cone. Angle, between the longitudinal axis & the line joining centre of elliptical-section to the apex-point of cone, is equal to

Q.23.A uniform point-source of light is located at the centre of a torus. If ratio of inner to outer radii is 2/3 then the fraction of total intercepted by the torus is equal to

Q.24. Total solid angle subtended by the identical spheres forming a tetrahedral void at the centre is equal to

Q.25. Total solid angle subtended by the identical spheres forming an octahedral void at the centre is

Q.26. Total solid angle subtended by the identical spheres forming a simple cubic unit-cell at the centre is

Q.27.A uniform point-source of luminous intensity l is located at the centre of hollow cylindrical shell with a radius r & length l Total flux intercepted by the shell is given by


Describe what you're looking for in as much detail as you'd like.
Our AI reads your request and finds the best matching books for you.
Popular searches:
Join 2.9 million readers and get unlimited free ebooks