
For the relative orientation of the co-ordinate systems indicated in Fig. 2, the x-axes of both systems permanently coincide. In the present case we can divide the problem into parts by considering first only events which are localised on the x-axis. Any such event is represented with respect to the co-ordinate systemK by the abscissa x and the time t, and with respect to the systemK1 by the abscissa x' and the time t'. We require to find x' and t' whenx and t are given.
A light-signal, which is proceeding along the positive axis ofx, is transmitted according to the equationx = ct
or
x - ct = 0 . . . (1).
Since the same light-signal has to be transmitted relative toK1 with the velocity c, the propagation relative to the systemK1 will be represented by the analogous formula
x' - ct' = O . . . (2)
Those space-time points (events) which satisfy (x) must also satisfy (2). Obviously this will be the case when the relation
(x' - ct') = • (x - ct) . . . (3).
is fulfilled in general, where λ indicates a constant ; for, according to (3), the disappearance of (x - ct) involves the disappearance of (x' - ct').
If we apply quite similar considerations to light rays which are being transmitted along the negative x-axis, we obtain the condition
(x' + ct') = µ(x + ct) . . . (4).
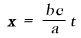
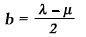
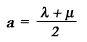
By adding (or subtracting) equations (3) and (4), and introducing for convenience the constants a and b in place of the constants λ and µ, where
And
we obtain the equations
We should thus have the solution of our problem, if the constants a and b were known. These result from the following discussion. For the origin ofK1 we have permanently x' = 0, and hence according to the first of the equations (5)
If we call v the velocity with which the origin ofK1 is moving relative to K, we then have

The same value v can be obtained from equations (5), if we calculate the velocity of another point of K1 relative to K, or the velocity (directed towards the negative x-axis) of a point of K with respect to K'. In short, we can designate v as the relative velocity of the two systems.
Furthermore, the principle of relativity teaches us that, as judged from K, the length of a unit measuring-rod which is at rest with reference to K1 must be exactly the same as the length, as judged fromK', of a unit measuring-rod which is at rest relative to K. In order to see how the points of the x-axis appear as viewed from K, we only require to take a " snapshot " of K1 fromK; this means that we have to insert a particular value oft (time of K), e.g.t = 0. For this value of t we then obtain from the first of the equations (5)
x' = axTwo points of the x'-axis which are separated by the distance Δx' = I when measured in the K1 system are thus separated in our instantaneous photograph by the distance

But from what has been said, the two snapshots must be identical; hence Δx in (7) must be equal to Δx' in (7a), so that we obtain

From this we conclude that two points on the x-axis separated by the distance I (relative to K) will be represented on our snapshot by the distance
But from what has been said, the two snapshots must be identical; hence Δx in (7) must be equal to Δx' in (7a), so that we obtain

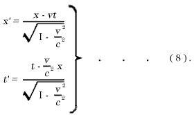
The equations (6) and (7b) determine the constants a and b. By inserting the values of these constants in (5), we obtain the first and the fourth of the equations given in Section 11.
Thus we have obtained the Lorentz transformation for events on the x-axis. It satisfies the condition x'2 - c2t'2 = x2 - c2t2 . . . (8a).
The extension of this result, to include events which take place outside the x-axis, is obtained by retaining equations (8) and supplementing them by the relations

In this way we satisfy the postulate of the constancy of the velocity of light in vacuo for rays of light of arbitrary direction, both for the systemK and for the systemK'. This may be shown in the following manner.
We suppose a light-signal sent out from the origin of K at the time t = 0. It will be propagated according to the equation
or, if we square this equation, according to the equation x2 + y2 + z2 = c2t2 = 0 . . . (10).
It is required by the law of propagation of light, in conjunction with the postulate of relativity, that the transmission of the signal in question should take place — as judged fromK1 — in accordance with the corresponding formula
r' = ct'or,
x'2 + y'2 + z'2 - c2t'2 = 0 . . . (10a).
In order that equation (10a) may be a consequence of equation (10), we must have x'2 + y'2 + z'2 - c2t'2 = • (x2 + y2 + z2 - c2t2) (11).
Since equation (8a) must hold for points on the x-axis, we thus have σ = I. It is easily seen that the Lorentz transformation really satisfies equation (11) for σ = I; for (11) is a consequence of (8a) and (9), and hence also of (8) and (9). We have thus derived the Lorentz transformation.
The Lorentz transformation represented by (8) and (9) still requires to be generalised. Obviously it is immaterial whether the axes of K1 be chosen so that they are spatially parallel to those of K. It is also not essential that the velocity of translation ofK1 with respect toK should be in the direction of the x-axis. A simple consideration shows that we are able to construct the Lorentz transformation in this general sense from two kinds of transformations, viz. from Lorentz transformations in the special sense and from purely spatial transformations. which corresponds to the replacement of the rectangular co-ordinate system by a new system with its axes pointing in other directions.
Mathematically, we can characterize the generalised Lorentz transformation thus :It expresses x', y', x', t', in terms of linear homogeneous functions of x, y, x, t, of such a kind that the relation
x'2 + y'2 + z'2 - c2t'2 = x2 + y2 + z2 - c2t2 (11a).
is satisfied identically. That is to say: If we substitute their expressions in x, y, x, t, in place of x', y', x', t', on the left-hand side, then the left-hand side of (11a) agrees with the right-hand side.
Describe what you're looking for in as much detail as you'd like.
Our AI reads your request and finds the best matching books for you.
Popular searches:
Join 2.9 million readers and get unlimited free ebooks