
 
									
 
				 
				
			TABLES
TABLE I
THE PRINCIPAL ELEMENTS OF THE SOLAR SYSTEM


THE PRINCIPAL ELEMENTS OF THE SOLAR SYSTEM
(Continued)


TABLE II
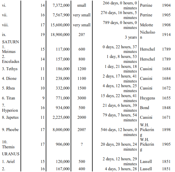
THE SATELLITES OF THE SOLAR SYSTEM



TABLE III
THE TWENTY BRIGHTEST STARS IN THE HEAVENS


TABLE IV
A LIST OF THE PRINCIPAL CONSTELLATIONS 1. VISIBLE
IN 40° NORTH LATITUDE



2. INVISIBLE IN 40° NORTH LATITUDE


TABLE V
PRONUNCIATIONS AND MEANINGS OF NAMES OF STARS AND CONSTELLATIONS


2. CONSTELLATIONS



 
			 
			 
					Reads:
16
Pages:
284
Published:
May 2025
This comprehensive volume contains over 1,300 multiple-choice questions, each meticulously answered and enriched with detailed feedback. What makes it stand o...
Formats: PDF, Epub, Kindle, TXT
 
			